首页
关于学院
关于我们
学院领导
联系我们
项目介绍
英国本科留学项目
澳大利亚本科留学项目
爱尔兰本科留学项目
新西兰本科留学项目
美国本科留学项目
加拿大本科留学项目
新加坡本科留学项目
马来西亚本科留学项目
加拿大安大略省高中文凭课程
师资队伍
报名指南
报名须知
在线报名
校园资讯
校友分享
在线报名
下载专区
报名表
招生简章
对外合作
首页
关于学院
关于我们
学院领导
联系我们
项目介绍
英国本科留学项目
澳大利亚本科留学项目
爱尔兰本科留学项目
新西兰本科留学项目
美国本科留学项目
加拿大本科留学项目
新加坡本科留学项目
马来西亚本科留学项目
加拿大安大略省高中文凭课程
师资队伍
报名指南
报名须知
在线报名
校园资讯
校友分享
在线报名
下载专区
报名表
招生简章
对外合作
学术园地
学术园地
当前位置:
首页
->
学术园地
->
正文
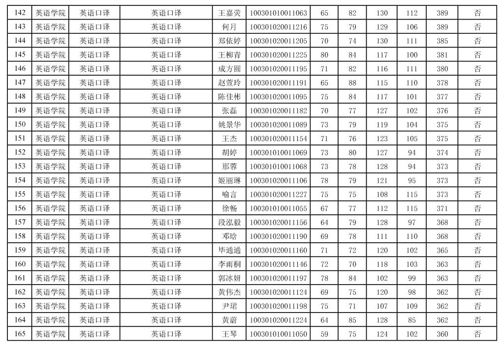
2021年硕士统考复试准考名单
发布时间:2021-03-30
上一条:
2021年研究生复试相关通知
下一条:
2021年硕士研究生招生复试工作方案